對話式教學顧名思義就是透過「師生對話」來完成教學活動,在這個過程中,只靠老師提問、學生回答便可完成,接下來我就以血液循環為例,讓大家實際了解對話式教學的精髓。
在課堂一開始,老師先花一些時間說明循環系統包含了心臟、血管和血液,血液在血管中流動,其功能是將養分、氧氣帶到全身器官,並將廢物帶離,而心臟提供血液流動的動力。然而,全身器官有這麼多,「血管和器官該如何相連呢?」
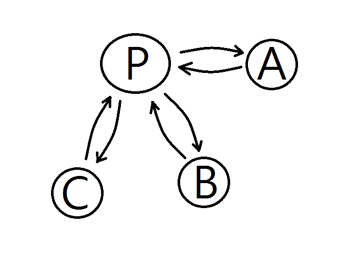
估計學生面對這個問題一定一頭霧水,因此老師先提出一個猜想:「先到一個器官、再到下一個器官…這樣好嗎?」(如圖一)
*圖說:P是指幫浦,意指心臟,ABC指各個器官。
通常學生都會覺得不好…「為什麼不好?」老師問。
「因為後面的器官都吃不到養分,可能會被前面吃光了!」
「如果前面某個地方斷掉了,後面的器官也會全部掛掉!」
「血流到後面的器官會越流越慢,血壓不足。」這些都是學生自己可以想到的答案。
「那麼,為了改善這些缺點,該怎麼連比較好呢?」老師再問。
這時學生會有很多想法,例如曾有學生提出每個器官都有兩條專屬的血管的接法(如圖二),接下來帶著學生檢查看看是否解決了前述的三個問題,發現都解決了!

「可是,有沒有產生新的問題呢?」對話式教學中,老師只負責提問和給予必要的知識,不負責解答。
「這樣,好像會有太多管子了…」學生說。「那麼又該怎麼改呢?」老師又問。就這樣靠著師生一來一往的對話,最後學生就會自己想出答案,也就是體循環的連接方式──並聯,此時再把心臟和血管的名稱標上去,就教完了!而肺循環也是如法炮製──老師提問,學生回答,便可由師生共同建構出知識內容。

不知道讀者看到這裡,有什麼想法呢?我自己從小生物就很好,背誦和記憶對我而言並非什麼困難,但是在我第一次看到這個教案時,發現中學時代的生物成績優異如我,竟然完全不知道體循環是並聯,而肺循環是串聯的!我只是非常會記憶,卻不曾理解,可見過去十幾年的學習根本是無效學習。
而我遇到的父母和學生裡頭,不少人看到這個教案後也非常驚喜,因為他們過去受到生物知識的摧殘,不但不理解這個複雜的循環過程,也完全背不起來,考試只能猜或是放棄,所以,當他們發現一切似乎有個道理,而且這個道理可以有助於記憶時,簡直是汪洋中的一盞明燈!
但當我們介紹這個教案給生物老師或生物背景的人時,收到負面反應非常地多,有以下幾個原因:第一、老師認為學生想到的原因可能不是真正的原因,因為不曾有任何一本教科書明白寫出為什麼體循環是並聯的理由,而老師認為不確定對不對的知識,老師不能教,因為老師不能教錯;第二、這個教案似乎暗示了生物是被設計出來的、是完美的,這不符合現今演化論的概念。
而筆者認為,對話式教學的教學目標與一般生物課程有很大的不同,除了知識本身以外,我們更重視教給學生一套學習的方法,而學習的方法中,最重要的就是問問題的方法,透過問問題,我們才能夠達到深度學習。在這個例子中,我們透過核心問題「為什麼體循環是並聯,而不是串聯」來設計教案,透過猜想與反駁的過程,學生最後可以學到體循環是並聯,而且是他自己想到的!我們不希望學生像過去的我一樣,雖然將知識背得滾瓜爛熟,卻花了10幾年才發現體循環是並聯。
而對話式教學並非追求教授對的知識,而是教學生──如何知道自己是對的,那就是透過問問題、猜想與反駁的過程,當學生學會這套學習方法,他自然會去檢驗課本中的每個知識是否正確。就像當我們讓學生理解體循環是並聯時,肺循環就立刻打了臉──肺和其他器官是串聯的關係,當我們想自圓其說肺要加氧排廢,是個很特別的器官時,腎臟、小腸等連法卻又反駁了這個看法,更不用說生物多樣性中還有各種情況可供反駁和討論。當我們開啟學生質疑和思考的開關時,他們自然會發掘更多尚未解決的問題和矛盾之處,所以根本不用擔心學生會對錯誤的知識深信不疑,因為我們在教學生不斷質疑,直到逼近答案,這個過程,不就是科學發展的過程嗎?♥